集團(tuan)新聞 行業動态 公(gōng)示公告
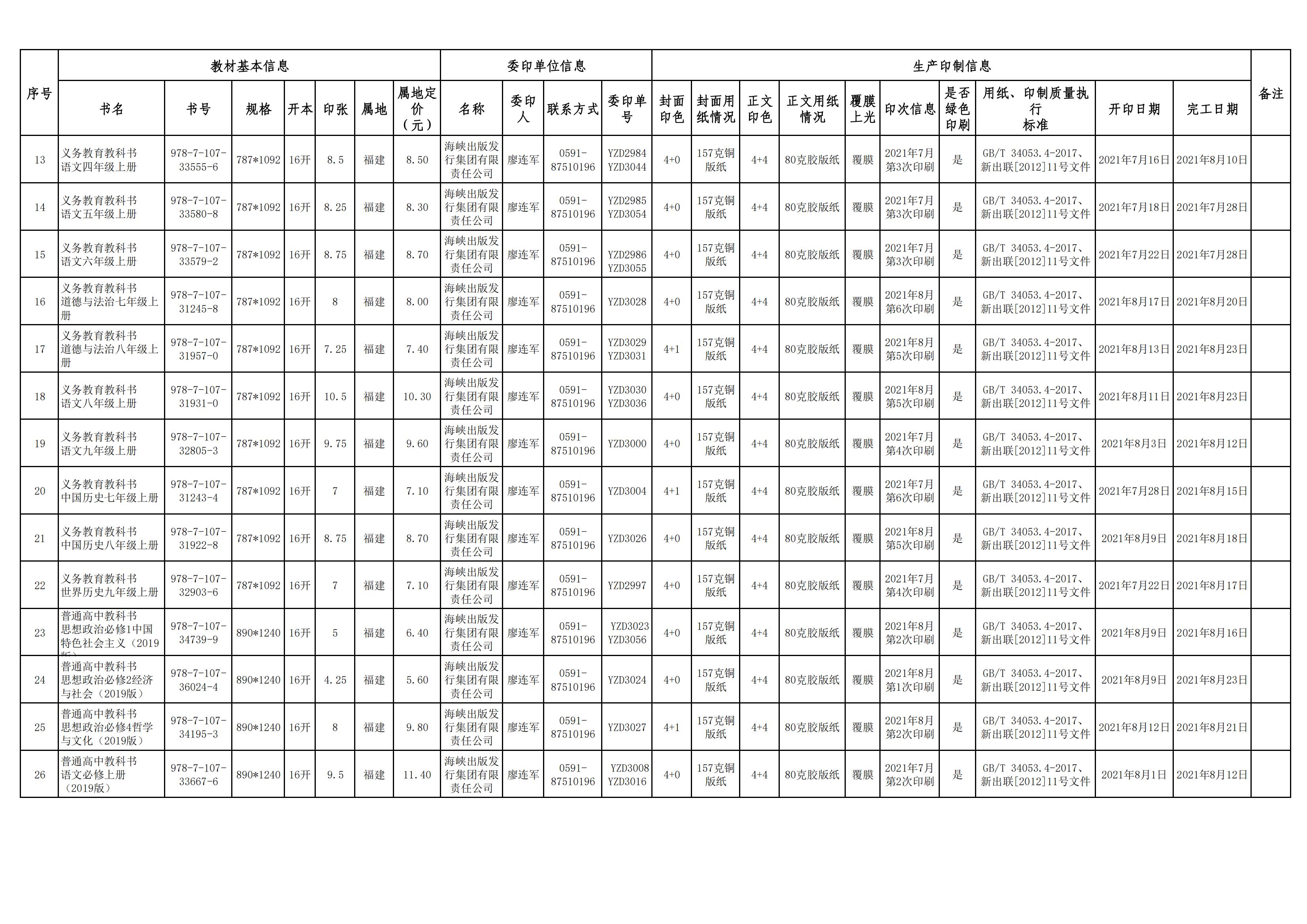
新華2021秋(qiū)統編三科教材生(shēng)産印制信息明細(xì)表(承印❤️企🐪業填報(bào)).xlsx
上一篇: 福建新華(hua)聯合印務集團有(yǒu)限公司委外印刷(shua)及...
下一篇: 2022年春季(ji)統編三科教材生(shēng)産印制信息公示(shi)...
手(shǒu)機端
PC端
•